我的订单
网站地图
English
中文
可通过CAS号进行批量搜索,一行一个CAS号
结构式搜索
批量搜索
热线:400-101-5189
手机:15618329298
首页
关于羽哚生物
产品中心
合作品牌
积分兑换
新闻中心
付款方式
联系我们
资料下载
本公司主要销售elisa试剂盒、酶免试剂盒,独脚金内酯,溶血素,牛血清白蛋白,小鼠ELISA试剂盒,人ELISA试剂盒,欢迎新老客户!
生化试剂
酶和辅酶
碳水化合物
蛋白质
维生素
缓冲液
蛇毒试剂
凝胶系列
其他试剂
亲和柱
染色液
细胞染色
碳水染色
HE染色
色素染色
神经染色
脂类染色
微生物染色
植物染色
金属及盐染色
染色其他
细胞组分分离
抗生素
细胞培养
细胞检测
细胞染色
脱钙液
固定液
免疫组化
核酸电泳
DNA溶液
RNA溶液
裂解液
稀释液
固定液
指示剂
免疫检测
感受态制备
核酸提取
核酸杂交
标准物质
蛋白电泳
免疫印迹
溶液
抗凝剂
生化检测
配套生化试剂
蛋白
标准品
国产标准品
进口标准品
对照品
标准品对照品
耗材
层析柱
乳化器
Axygen
BD
瑞宁
Shentex
双螺旋
培养基
细胞培养
透析袋
化学试剂
超干溶剂
格氏试剂
离子对试剂
气体有机溶剂
锂铝试剂
其他有机金属
有机硅化合物
有机铝化合物
有机锌化合物
血液制品
动物血清
动物血浆
脱纤维血
抗凝血
裂解血
定制红细胞
抗血清
PEG类产品
细胞类
细胞株
原代细胞
小鼠原代细胞
大鼠原代细胞
人配对原代细胞
肿瘤原代细胞
人原代细胞
原代肝细胞
因子
质粒
载体
人源血细胞
干细胞亚组分
干细胞
细胞其他
质粒
试剂盒
ELISA试剂盒
常量法试剂盒
微量法试剂盒
其他试剂盒
色谱试剂
抗原抗体
抗原
抗体
诊断试剂原料
食品安全原料
进口品牌
Sigma
Amresco
Fluck
Gibco
TCI
Roche
Spain
Fluka
OCT(樱花)
Yipkhdr
OXOID
TRC
培养基
重组蛋白
原位杂交
临床试剂
抑制剂
国产抑制剂
进口抑制剂
细菌类
医药中间体
化工原料
细胞
最新上架
支原体预防剂
支原体清除剂
支原体检测试剂盒
类芽孢杆菌去除剂
黑胶虫去除剂
水浴锅抑菌剂
水盘抑菌剂
脱纤维绵羊血
小鼠抗呕吐毒素(DON)单克隆抗体
人前列腺特异性抗原(PSA)
鬼笔环肽Phalloidin
地塞米松-BSA
地塞米松单抗
大观霉素-BSA
克伦特罗-BSA
克伦特罗单抗
沙丁胺醇-BSA
沙丁胺醇单抗
实验资料
常用储存液的配制
常用储存液的配制
常用储存液的配制
常用染料的酸碱变色以及ph范
全基因合成常见问题解答
细胞培养常见问题及其解决方法
DNA Marker电泳常见
DNA Marker电泳常见
PCR反应体系与反应条件
定量PCR
友情链接
档案密集架
圆柱模板厂家
南京公司代办
电缆桥架
过滤布
深圳木箱
上海乐队
无纺布
博山减速机
南宁旅行社
铝箔布
ELISA试剂盒
首页
>
产品中心
>
标准品
>
国产标准品
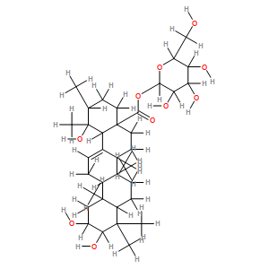
刺梨苷
产品编号:ZB1298
别名
化学名
Kaji-ichigoside F1
CAS号
95298-47-8
EINECS编号
分子式
C
36
H
58
O
10
分子量
650.83972
MDL号
大包装询价
产品介绍
COA下载
说明书下载
相关产品
香草醛(标准品)
虎杖甙/虎杖苷/白藜芦醇苷(标准品)
槐定碱(标准品)
槐定碱(标准品)
扎托布洛芬(标准品)
羟苯磺酸钙(标准品)
法罗培南钠(标准品)
吗替麦考酚酯/霉酚酸酯(标准品)
子囊霉素(标准品)
异牡荆素(标准品)
胸腺嘧啶(标准品)
间羟基苯甲酸(标准品)
依诺沙星(标准品)
2-苯乙酰胺(标准品)
3-乙氧基-4-羟基苯甲醛(标准品)
大包装询价
CAS NO
包装规格
纯度
数量
期望价格
单位名称
产品名称
联系人
电话
E-mail
备注
验证码
填写验证码